- La Commune
- Actualités
- La Commune
- Les services communaux
- La Direction générale
- La Direction financière
- Secrétariat communal
- Secrétariat du Bourgmestre
- Service Enseignement - Culture
- Service Etat Civil - Population
- Service Finances
- Service Gestion des Ressources humaines
- Service Marchés publics
- Service Environnement - Développement durable - Bien-être animal
- Service Travaux
- Service Urbanisme - Mobilité - Logement
- Service Vie assoc. - Famille - Sports - Commerces
- Service Informatique
- Service Prévention & sécurité au travail
- Service Technique
- La culture
- L'enseignement
- L'environnement
- Le développement durable
- L'état civil
- La famille
- Les finances
- Le folklore
- Le patrimoine
- La population
- Le sport
- L'urbanisme
- Le CPAS
- Le conseil des enfants
- Le Château de Ham-sur-Heure
- Vie pratique
- Actualités
- Pour arriver...
- ... en transports en commun
- Se nourrir et se loger
- Se promener
- Plan de l'entité
- Vivre ensemble
- Les stages et plaines
- Organiser un évènement dans la commune
- Se soigner
- Gérer ses déchets
- Les marches folkloriques
- Les avis d'enquêtes publiques et les annonces de projet
- Les règlements
- Questions fréquentes
- Les commerces et les marchés de l’entité
- Vie politique
- Agenda
- Accès rapide
- Contact
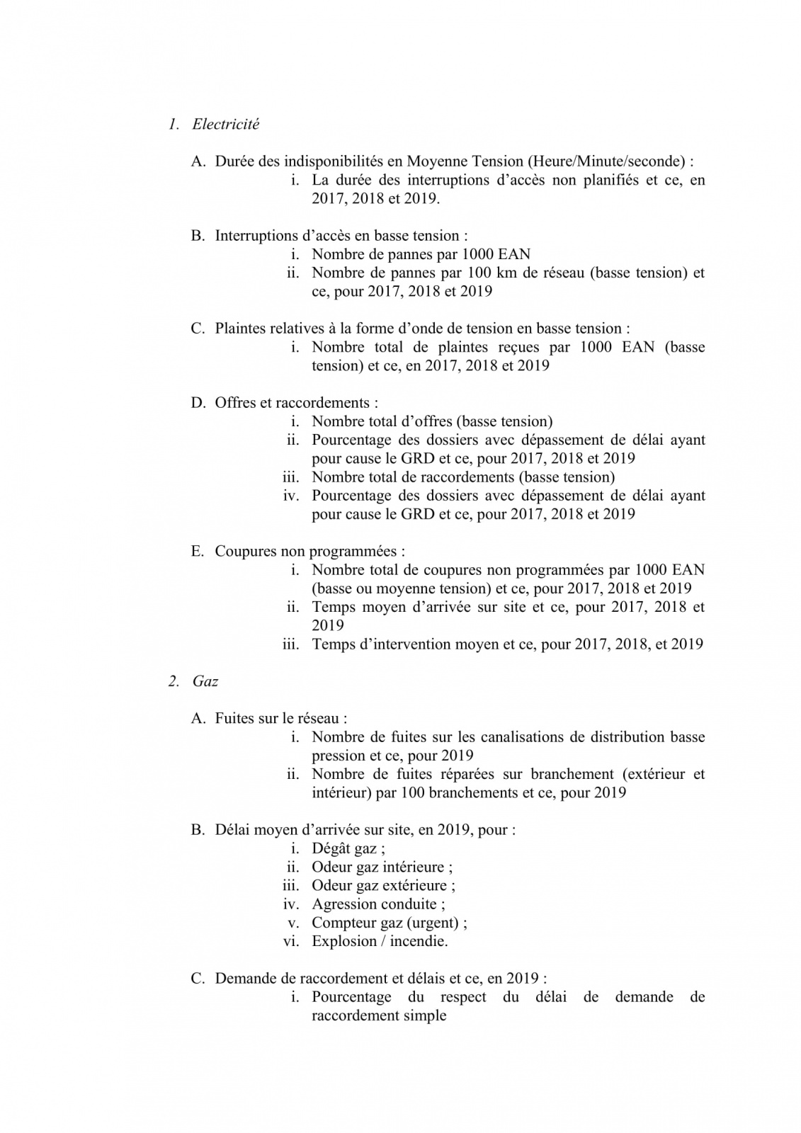
APPEL À CANDIDATURE POUR LA PROPOSITION DE DÉSIGNATION COMME GESTIONNAIRE DE RESEAUX DE DISTRIBUTION D’ÉLECTRICITÉ ET/OU DE GAZ SUR LE TERRITOIRE COMMUNAL
Mardi 6 juillet 2021
Dernière mise à jour le Mardi 6 juillet 2021 - 16:43
Ham-sur-Heure-Nalinnes



Commune de Ham-sur-Heure-Nalinnes